Science with Passion
Application No.: VPH0065
Version 1 06/2019
Traditional Chinese Medicine meets modern analytics – HPLC fingerprinting for the comparison of Radix paeonia alba and Radix paeonia rubra
Juliane Böttcher, Kate Monks; applications@knauer.net
KNAUER Wissenschaftliche Geräte GmbH, Hegauer Weg 38, 14163 Berlin

Summary
In Traditional Chinese Medicine (TCM) Radix paeonia alba (white peony root) and Radix paeonia rubra (red peony root) are important herbs used in many different preparations. [1] To ensure the identification of both cultivations an HPLC fingerprint was developed to work out the differences between red and white peony root products.
Introduction
White (Bai shao) and red peony root (Chi shao) belong to the Paeoniaceae family, so both are variants of the same species. Red peony root is gathered in the wild while the white peony root is cultivated. The Chinese names do not refer to the color of the bloom but to the color of the root. The main functions of Chi shao in TCM practices are the removal of pathogenic heat from blood and invigorate blood to remove blood stasis. Its most important uses and indications are for example measles in epidemic heat syndrome, hematemesis, nosebleed, discharging fresh blood stool, sore red swollen eyes, swelling, abscesses and boils, and many more. The usual dosage is from 6 to 12 grams, generally in decoction [2]. The white peony root is best used as a tonic for blood and as a “heat reducing” (or “heat removing”) herb for the liver. According to Traditional Chinese Medicine methodology and theory, white peony root for instance helps with abdominal pain and muscular spasms. The benefits continue: Chinese medicine practitioners also believe it also has an astringent effect on sweating, and is also antibacterial, antispasmodic, and anti-inflammatory in nature. [3] Because of having different superior benefits, a specific differentiation is important to gain a proper application of these herbal medicines.
Results
Samples of peony root have been analyzed to differ between red and white peony extracts of plant origin. Furthermore, extracts of peony granulate were measured and compared to the plant origin samples to make statement about the affiliation to either Radix Paeonia rubra or Radix Paeonia alba. Additionally, the main active component paeoniflorin, which is present in both cultivations, was identified by the measurement of an analytical standard. Fig. 1 shows an enhanced overlay of the plant origin extracts of Paeonia rubra and Paeonia alba. Paeoniflorin was detected at 13.40 minutes. The trace of Paeonia rubra shows a characteristic peak at a retention time of 26 minutes, which is not found in the Paeonia alba sample. For a better peak identification in the samples the 3D data is also considered for evaluation. The absorption spectra of the tagged peaks are shown in the additional results section of this application note. Fig. 2 shows an overlay of Paeonia rubra granulate and Paeonia rubra plant extract. Here a group of three peaks is found in the granulate but missing in the plant origin sample. Again, the recorded 3D data was used for examination. (see additional results section)

Fig. 1 Enhanced overlay of Paeonia rubra (blue) and Paeonia alba (red) plant extracts, tagged peak at 26 min

Fig. 2 Overlay Paeonia rubra granulate (blue) and Paeonia rubra plant extract (red), tagged peaks from 21.3 min to 22.7 min
Materials and Methods
The analysis was performed using an AZURA HPLC Plus system consisting of an AZURA AS 6.1L autosampler, an AZURA CT 2.1 column thermostat, an AZURA P 6.1L LPG pump and an AZURA DAD 2.1L diode array detector equipped with 10 mm, 10 µL PressureProof flow cell cartridge. The eluent was a composition of A: water + 0.05 % phosphoric acid and B: acetonitrile. A linear gradient was used with a total run time of 70 min including equilibration time. The column thermostat was set to 40°C. The traces were detected at 230 nm. Additionally, 3D data was recorded over a range from 190 nm to 700 nm. The samples were injected as ethanolic extracts. Before injection the samples were diluted with ethanol in a ratio of 1:10. The used column in a dimension 250 x 4.6 mm ID with precolumn was filled with Eurospher II 100-5 C18 P silica.
Conclusion
The differentiation between the white and red peony root plant extracts is given, referring to the characteristic peak at a retention time of 26 minutes. Also, the difference between Paeonia rubra granulate and plant extract can also be determined via this method. The HPLC fingerprint profile of the Paeonia alba granulate and plant origin sample is very similar and only differs in the paeoniflorin concentration. A characteristic peak was not found here. However, as well the Paeonia rubra granulate as the Paeonia rubra plant extract show characteristics which are not found in the Paeonia alba samples. Therefore, a correlation of granulates and plant extracts to the cultivation is possible.
Additional Results

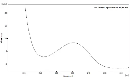
Fig. A1 Absorption spectrum of Paeonia rubra sample at 26 min

Fig. A2 Absorption spectrum of Paeonia rubra granulate at 21.34 min

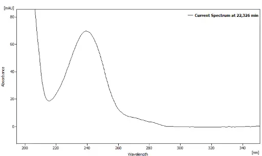
Fig. A3 Absorption spectrum of Paeonia rubra granulate at 22.30 min

Fig. A4 Absorption spectrum of Paeonia rubra granulate at 22.60 min
Additional Materials and Methods
Tab. A1 Method parameters
Tab. A2 System configuration & data
References
- Chunnian H, Yong P, Yuxiong F, Bing P, Zhe W, Peigen X. Quick comparison of Radix Paeonia Alba, Radix Paeonia Rubra, and Cortex Moutan by high performance liquid chromatography coupled with monolithic columns and their chemical pattern recognition. Pharmacognosy Magazine. 2012;8(31):237-243. doi:10.4103/0973-1296.99290.
- http://www.chineseherbshealing.com/red-peonies-chi-shao-yao/
- https://mydaolabs.com/blogs/the-way/white-peony-root-bai-shao
Related KNAUER Applications
VPH0063 – Quantitative determination of gallic acid and tannic acid from gallnut extrac
VPH0055J – Determination of Ginsenosides (I)
VFD0103J – Separation of Bisabolol oxide A and B from Camellia extract
Application details

